written and published by Renzo Diomedi // UNDER CONSTRUCTION
3 space-dimensions cannot explane the dark matter and the dark energy. 
Conventionally, we use two series of cartesian complex conjugate planes intersecting each other and on each of them. 
Then we fix a point in every plane. 
We name J-planes the first set of planes and 
we name K-planes the set of intersecting planes.
 
the set of J-planes is the physical three-dimensional space made by 
particles of energy imprisoned in the mass. 
The set of K-planes is the electromagnetic space made by photons, particles of massless energy.
  
So, the K-planes intersect J-planes and vice-versa. 
The distance beetween the planes is quasi null, so, the hypercube consists of two Strings intersected among themselves 
Every String is composed by points (one for each plane) , the string join all the points of all the 
J and K-planes vibrating in a two-dimensional surface called worldsheet, 
not a 3-dimensional space 
as it would be immediate to think. 
Every set of planes creates a worldsheet. So the hyper cube created is composed by 4 space 
dimension created by 2 worldsheets intersected. 
But the fourth spatial dimension can not be perceived by our senses 
created to perceive 3 dimensions only. 
Considering 2 points on a sheet of paper, their distance along the surface will remain unchanged also bending the sheet, 
as it will always remain the same also curving the whole book, id est the geometric variety, of which it is part. 
We note that the whole universe is dotted with curved surfaces, and even when we draw a straight line on a sheet we have 
to remind us that the Earth's surface is bent and that the euclidean plane considered, is valid 
only by approximation locally.
If the measuring system is a Cartesian metrics, in a two-dimensional space, the  axes x, y  are perpendicular 
to each other, but in a non-Cartesian metrics,  µ, v axes  are generally oblique
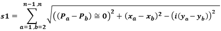
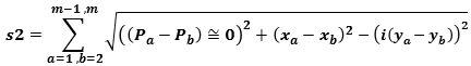
Length of the Strings: 
 
  
 n = number of all the planes in first string , m = number of all the planes in second string , 
p = planesheet, x = Real axis , iy = Im axis 
The massless electromagnetic particles and particles 
with mass constitute the universe. If the distance among every point on 
J-plane and every point on K-plane is zero, the massless particle intersects and coincides with particle with mass . 
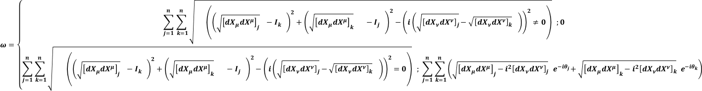
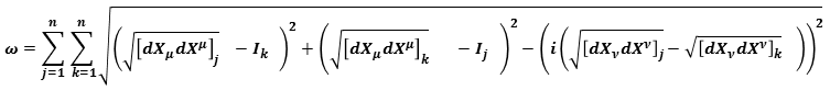
using the metric tensor we can calculate the sum of the vectors of coincident points of J and K :
 
 
we can calcualte the distance among every point of every plane J and every point of every K:   
 
 
 X is a generic component of the reference axes, j= series of planes , k= series of intersected planes, I = intersection point in the plane , x = Real axis , iy = Im axis 
we could also consider the two sets of crossed planes as cross-cut and intersected lattices
considering the Strings belonging a worldsheet
we need to use tensors that in a geometrically bendable structure
keep equal distance beetween the lattice points
 
 
then, also using the Einstein notation
 
then  
then  
then  
then  
The Metric Tensor  g  expresses the property of a structure
geometrically curvable with the points of its lattice at a distance
always equal in relation to the structural components themselves
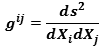
then  contravariant metric tensor
 contravariant metric tensor
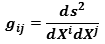
then  covariant metric tensor
 covariant metric tensor
to be continued...........................
 
  
to be continued............
the series of the points of the j-planes creates a curve function that we can use as a Line Integral =  
the series of the points of the k-planes creates a curve function that we can use as a Line Integral =  
TO BE CONTINUED....................
the series of the planes J is a cube, also the series K
 
each cube composes a string that is the result of the action of so many vector fields.
Each cube, therefore, can be seen as a tensor. 2 intersecting cubes (hypercube) are a super-tensor
considering  , then we have an Identity tensor:
 , then we have an Identity tensor: 
 
 
 
 
then
 
 
 
 
to be continued....
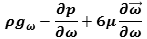
NS, composed by a conservative continuityequation  and a non-conservative 
Momentum equation
 and a non-conservative 
Momentum equation  not exactly measurable as a scalar field, but divisible by 
3 scalar equations laid and projected along the directions  x, y, z  which returned 
values not coinciding.
 not exactly measurable as a scalar field, but divisible by 
3 scalar equations laid and projected along the directions  x, y, z  which returned 
values not coinciding. 
 ;
 ;  = Density ,
 = Density ,  = Viscosity
 = Viscosity
 
But the fourth space dimension could be considered as the synthesis of other 3 so in substitution of
 x, y, z,  so  ,
 ,  , then
 , then  then we get a single equation in substitution of three, to get a single output
 
then we get a single equation in substitution of three, to get a single output  
Demonstration:
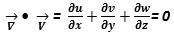
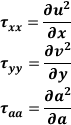
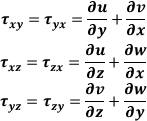
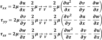
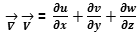
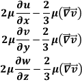
Considering the 4 independent variables x,y,x,t and the 4 dependent variables u,v,w,  
and  p  (pressure) and the 6 given by the Stress Tensor considering  u, v, w  components 
of the shift vectors  along axes  x, y, z, , we have:
 along axes  x, y, z, , we have:
 
 
 
 
then, if the components of the viscous stress state are linearly linked 
to the components of the deformation velocity through Stokes' relations,  
 
 
whereas  
then 
 
so, using  we have
 we have  
then
 
so,  
momentum scalar equations:
 
using  we have
 we have  
TO BE CONTINUE...
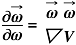
Let the Times of the series of the planes , not coinciding 
TO BE CONTINUE...
(1)
 co-vector , covariant plane 
the axes joining the coordinates to the point, remain perpendicular at the main axes, 
(but not parallel) 
 
conventionally, indicated with lower index 
 contravariant plane 
 
the axes joining the coordinates to the point, remain parallel at the 
main axes (but not perpendicular) 
conventionally, indicated with upper index
Home Page